Key Highlights
- Autocorrelation spectroscopy quantifies NV center charge-state dynamics across microsecond to millisecond timescales, revealing transitions between the bright NV⁻ and dark NV⁰ states.
- Fluorescence intermittency depends strongly on excitation wavelength, with clear blinking observed under 532 nm excitation while 633 nm excitation produces stable emission.
- Power-dependent measurements reveal different physical mechanisms, showing linear scaling for ionization and quadratic scaling for recharging.
- TCSPC-based photon timing combined with correlation analysis enables precise characterization of single-photon emitters and their underlying charge-state kinetics.
Charge State Switching in NV Centers Causes Fluorescence Intermittency
Single photon emitters such as nitrogen vacancy (NV) centers in diamond are widely used in quantum sensing and quantum communication. Their photostability makes them attractive compared to many other emitters. Yet even these systems can show sudden fluctuations in fluorescence intensity. A single emitter may switch between a bright state and a dark state, a phenomenon often described as blinking. Understanding the dynamics behind these transitions is important because charge state switching can influence photon statistics, emission stability, and ultimately the performance of quantum optical experiments.
Autocorrelation Spectroscopy Reveals Charge State Transitions in Single NV Centers
In this study by Zhang et al., Nanomaterials (2021), the dynamics of individual nitrogen vacancy centers in nanodiamonds were investigated using time resolved single molecule spectroscopy. The researchers excited single emitters with a pulsed laser and recorded the arrival time of each detected photon using time correlated single photon counting. By analyzing fluorescence intensity fluctuations through auto correlation spectroscopy, they quantified the transition kinetics between the negatively charged NV⁻ state and the neutral NV⁰ state.
This approach provides access to temporal dynamics across a broad time range, from sub microseconds to milliseconds, without relying on threshold based ON/OFF analysis. Instead, the autocorrelation of fluorescence intensity fluctuations directly reveals the transition rates between the different charge states.
Wavelength-Dependent Charge-State Switching in Single NV Centers
The measurements revealed that fluorescence intermittency in the investigated nanodiamonds originates from charge-state conversion between the negatively charged NV⁻ state and the neutral NV⁰ state. Under excitation at 532 nm, the emission intensity of a single NV center showed clear switching between bright and dark levels, indicating transitions between these two charge states. In contrast, excitation at 633 nm produced a stable emission signal without observable blinking. Second-order correlation measurements confirmed that both states maintained the characteristics of a single photon emitter, while time-resolved fluorescence measurements showed similar excited-state lifetimes for both emission regimes.
Autocorrelation analysis of the fluorescence intensity trajectory allowed the transition kinetics between the charge states to be quantified. The results showed that the ionization process from NV⁻ to NV⁰ occurs on a sub-microsecond timescale, whereas the reverse recharging transition from NV⁰ back to NV⁻ is much slower and occurs on the order of tens of milliseconds. This large difference in transition times highlights the strongly asymmetric dynamics of the charge-state conversion process in single NV centers.

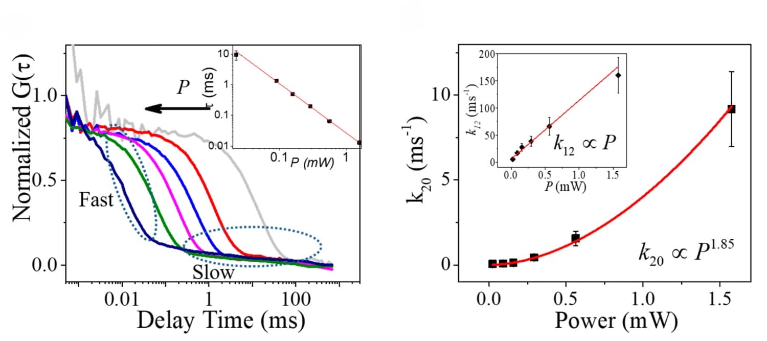
Power-Dependent Ionization and Recharging Kinetics
To further investigate the underlying mechanisms of these transitions, the researchers performed power-dependent measurements using 532 nm excitation. As the excitation power increased, the intermittency of the fluorescence signal changed noticeably. At low excitation power, the time traces were dominated by dark states, whereas increasing the laser power led to a higher fraction of bright emission events and faster switching dynamics. This behavior reflects the direct influence of excitation intensity on the probability of charge-state transitions.
Analysis of the autocorrelation curves revealed distinct power dependences for the two transitions. The ionization rate from NV⁻ to NV⁰ increased linearly with excitation power, indicating that the process is driven by a single-photon absorption event. In contrast, the recharging transition from NV⁰ back to NV⁻ exhibited an approximately quadratic dependence on excitation power, consistent with a two-photon mechanism. These results demonstrate how autocorrelation spectroscopy enables the extraction of transition kinetics across a wide temporal range and provides detailed insight into the photophysical processes governing single NV center emission.

Instrumentation Used in This Study by PicoQuant
Studying charge-state dynamics in single emitters requires controlled pulsed excitation, precise photon timing, and advanced correlation analysis. In this work, these capabilities were provided by PicoQuant instrumentation used within the confocal single-molecule spectroscopy setup.
LDH-FA Series Fiber-Amplified Picosecond Laser Diode Heads
Stable picosecond excitation is essential for time-resolved fluorescence experiments and for resolving fast dynamics in single emitters. The LDH-FA Series provides high pulse energies and clean temporal profiles, enabling reliable excitation for TCSPC and correlation measurements.
- Fiber-amplified picosecond diode lasers delivering clean excitation pulses
- Variable repetition rates for flexible synchronization with TCSPC systems
- High pulse energy enabling strong fluorescence signals in demanding samples

TimeHarp 260 Time Tagging and TCSPC Module
Precise measurement of photon arrival times is central to experiments investigating fluorescence dynamics and single-photon emission statistics. In the original study, photon timing was performed using the TimeHarp 200 TCSPC module. The current successor of this platform is the TimeHarp 260, which provides advanced TCSPC and time-tagging capabilities for correlation spectroscopy and lifetime measurements.
- Picosecond-resolution time-correlated single photon counting
- Photon-by-photon time tagging for correlation and antibunching measurements
- High sustained count rates with ultrashort dead time

SymPhoTime 64 Software
Extracting kinetic parameters from fluorescence fluctuations requires powerful analysis tools capable of handling large photon datasets. SymPhoTime 64 provides an integrated environment for analyzing time-resolved fluorescence signals and correlation data from TCSPC experiments.
- Integrated analysis platform for time-resolved fluorescence experiments
- High-performance correlation engine for studying fluorescence dynamics
- Advanced tools for lifetime fitting, correlation spectroscopy, and single-molecule analysis

Quantifying Charge State Kinetics in Single Photon Emitters
This study demonstrates how autocorrelation spectroscopy can reveal charge-state dynamics in single photon emitters across a wide range of timescales. By combining pulsed excitation, TCSPC photon timing, and correlation analysis, the researchers quantified both fast ionization events and slower recharging processes in individual NV centers.
If you are investigating fluorescence fluctuations, photon statistics, or single-emitter dynamics in your own experiments, contact us to learn how PicoQuant’s time tagging and TCSPC solutions can support your measurements.





























