Photon Counting Detectors

Complete confocal fluorescence microscope that empowers researchers to advance quantitative functional imaging from individual molecules to cells and tissues.

Modular, customizable, time-resolved confocal microscope with single-molecule sensitivity for life and materials science.

Compact FLIM and FCS upgrade kit that adds advanced functional imaging and correlation analysis to existing laser scanning microscopes.

Designed for flexible, sensitive, and precise steady-state and time-resolved spectroscopy across the UV to NIR range and time scales from picoseconds to milliseconds.

Modular lifetime spectrometer designed for flexible fluorescence and photoluminescence measurements in both materials and life science research.

Add spectral and time-resolved photoluminescence to your setup through flexible microscope–spectrometer coupling options.

Get the most out of superconducting nanowire detectors in large-scale quantum communication and computing experiments requiring precise multichannel timing.

Boost your time-resolved experiments with a flexible, high-precision time tagging and TCSPC unit for materials science and quantum sensing.

Scale your photonic quantum computing and detector characterization setups while maintaining performance, flexibility, and high data throughput.

Compact 3-color picosecond laser delivering flexible ns to ms excitation with cost-effective multicolor performance and straightforward operation.

Smart picosecond laser diode heads covering UV-A to NIR, providing the right combination of power, pulse width, and diode type for any time-resolved technique.

VisUV provides clean short pulses and stable timing across key UV and visible wavelengths, including deep UV lines as well as 488 nm and 532 nm.

Enhance your single-photon counting experiments with wide dynamic range and excellent timing precision in the UV and visible even at the highest count rates.

Capture even the weakest signals over large areas with maximum dynamic range and enhanced low-light sensitivity in a compact detector design.

Unlock spatially resolved single-photon detection with a 23-pixel SPAD array, combining low dark counts and precise time tagging for advanced experiments.

Advanced FLIM analysis software for fast, accurate interpretation of lifetime imaging data.

Intuitive, free software solution for real-time, high-precision photon data acquisition, visualization, and initial data analysis.

Advanced software for time-resolved fluorescence acquisition and analysis.

An imaging technique that uses fluorescence lifetimes to generate image contrast.

Investigating how proteins dynamically explore multiple conformational states that control biological function.

Investigating how biomolecules separate into dynamic liquid phases to organize cellular space and regulate biological function.

A time-resolved technique that measures photoluminescence lifetimes to reveal excited-state dynamics in materials.

Studying exciton dynamics, charge carrier processes, and structural properties through optical and time-resolved characterization methods.

Investigating charge-carrier lifetimes and recombination dynamics to enable precise optical characterization of material quality and device performance.

A quantum optical signature revealed by time-resolved photon correlation analysis to identify single-photon emission in materials and nanostructures.

The transmission of information using individual photons, using quantum effects to ensure absolute security.

Quantifying photons per detection event enables direct access to photon-number statistics, providing insight into quantum and statistical properties of light.

An optical technique that analyzes light emission under electrical excitation to reveal electronic properties of electroluminescent materials.

Monitoring environmental signals and trace compounds to understand dynamic changes in natural and engineered environments.

A photon timing technique that measures single-photon arrival times to resolve ultrafast dynamics in fluorescence, materials research, and quantum optics.
Solar cells are mainly made of semiconductor devices that convert light into electrical energy. Their performance depends on how efficiently photo-generated charge carriers are created, transported, and collected. Understanding these processes requires precise optical characterization techniques that unveil the material’s structural and electronic properties.
Current research in solar cell characterization increasingly focuses on how material composition and structure influence device efficiency and long-term stability. Optical techniques, especially time-resolved photoluminescence (TRPL), provide insight into charge-carrier dynamics, nonradiative recombination, and defect behavior. By linking these photophysical properties to processing conditions, researchers can accelerate the development of high-performance solar cell materials. Below are some of the most actively studied material classes in photovoltaic research.
Time-resolved photoluminescence (TRPL) reveals how charge carriers recombine after photoexcitation, providing direct insight into recombination dynamics and defect-related losses. TRPL imaging extends this approach by adding spatial resolution, enabling the visualization of local variations in lifetime, transport, and material quality. Additional time-resolved and spatially resolved techniques, such as carrier diffusion imaging, further complement this analysis and broaden access to transport-related properties relevant for solar cell performance.

Steady-state and time-resolved photoluminescence measurements at different locations on a CIGS solar cell reveal how local device geometry influences carrier dynamics. Using a FluoTime 300 spectrometer combined with the FluoMic microscope, PL spectra and lifetimes were recorded near silver grid lines and between contacts, demonstrating how excitation and detection volume affect extracted lifetimes and recombination behavior.

Time-resolved photoluminescence imaging was used to analyze the impact of chloride activation on polycrystalline CdTe wafers. Using a MicroTime 200 confocal microscope, intensity and lifetime maps recorded before and after thermal treatment reveal a pronounced increase in photoluminescence intensity and carrier lifetime. Spatially resolved TRPL data uncover heterogeneous improvements across the CdTe structure, even at millisecond-scale acquisition times.
Perovskite solar cells are among the most promising thin-film materials, combining high efficiencies, low-temperature processing, and tunable bandgaps. Key challenges include environmental instability, nonradiative recombination at grain boundaries, and film heterogeneity. Optical characterization methods, particularly time-resolved photoluminescence (TRPL) and TRPL imaging, provide insight into charge-carrier dynamics, diffusion behavior, and localized defect states. Correlating lifetime variations with processing conditions helps identify degradation pathways and supports the development of more stable, high-performance perovskite absorbers.

Time-resolved photoluminescence spectroscopy was used to assess how the molecular additive 3API improves perovskite solar cell stability. Increased steady-state PL intensity and prolonged TRPL decay measured with a FluoTime 300 indicate suppressed nonradiative recombination, directly linking material modification to enhanced optoelectronic quality.

Time-resolved photoluminescence imaging was used to study micro-wrinkled perovskite layers with composition-controlled morphology. TRPL maps acquired with a MicroTime 200 reveal pronounced lifetime differences between hill and valley regions, directly linking local film structure to modified carrier dynamics and enhanced photocurrent generation.

Photoluminescence quantum yield mapping was applied to evaluate the validity of recombination models in metal halide perovskites. By systematically varying excitation pulse energy and repetition rate over several orders of magnitude, spatially resolved PLQY measurements enable quantitative comparison between experimental results and theoretical recombination models.
Copper Indium Gallium Selenide (Cu(In,Ga)Se₂, CIGS) solar cells represent a mature thin-film technology with strong optical absorption, cost-effective material utilization and compatibility with flexible substrates. Research focuses on how composition, interface quality, and post-deposition treatments influence carrier dynamics and device efficiency. Optical characterization methods, particularly TRPL and TRPL imaging, provide quantitative insight into carrier lifetimes, recombination pathways, and spatial inhomogeneities, enabling correlations between local electronic properties and macroscopic device performance.

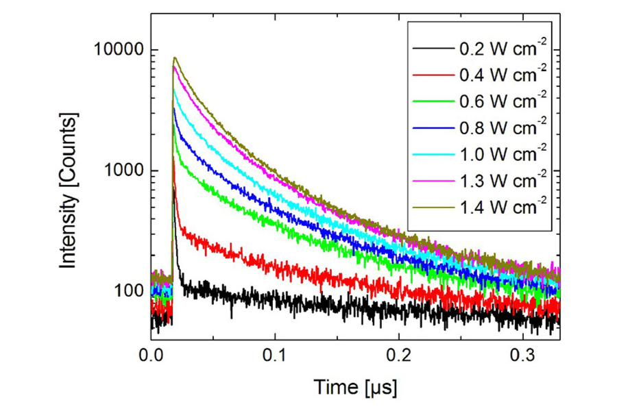
TRPL imaging at varying excitation power densities reveals how trap-state saturation affects carrier recombination in CIGS devices. At higher excitation levels, photoluminescence images become more homogeneous and lifetimes increase, highlighting the strong dependence of recombination dynamics on excitation conditions.

Time-resolved confocal imaging with superconducting nanowire single-photon detectors enables TRPL analysis of weakly luminescent CIGS solar cells in the near-infrared. High detection efficiency and picosecond timing resolution reveal distinct decay profiles at defect and non-defect regions, even at low excitation intensities.
CdTe solar cells are a well-established thin-film technology valued for scalability, cost efficiency, and strong optical absorption. Research targets the reduction of nonradiative losses, improved grain-boundary passivation, and control of deep-level defects. TRPL and TRPL imaging enable analysis of carrier recombination dynamics, identification trap-assisted processes and treatment effects, linking material quality to device performance and long-term stability.

Time-resolved confocal imaging of CdTe solar cell cross sections reveals how carrier lifetimes vary from the surface toward the pn-junction. TRPL measurements show a gradual lifetime increase across the junction region, demonstrating that photoluminescence intensity alone does not directly reflect recombination dynamics.
Other photovoltaic materials such as organic, quantum dot, and tandem architectures are also under active research. Time-resolved techniques like TRPL provide key insights into carrier dynamics and recombination across these systems, demonstrating their broad applicability for characterizing emerging solar cell technologies.
In this video, Sam Stranks (University of Cambridge), gives an overview of halide perovskite solar cell research using multimodal microscopy to study luminescence, recombination, degradation, and pathways to improve efficiency and stability.
In this customer video, Prof. Jinsong Huang (University of North Carolina) discusses how electronic defects affect efficiency and stability in perovskite solar cells and how FLIM helps visualize their impact.
How time-resolved fluorescence spectroscopy and microscopy reveal excited-state dynamics, defects, and charge-carrier processes
Poster on non-destructive photoluminescence analysis of PV devices using TRPL microscopy to study carrier dynamics, diffusion and material properties.
Learn how time-resolved fluorescence techniques reveal excited-state dynamics and charge-carrier processes in materials.
TRPL mapping of CIGS devices using a combination of a superconducting nanowire detector and a confocal microscope
Please fill out the form below to receive the requested file. After submitting your details, the file will be sent to you by email.
* Required
Please fill out the form below to request more information. You may also use it to inquire about pricing, availability, technical specifications, or discuss your specific application. Our sales team will be happy to review your request and get in touch with you. If additional information is needed to process your inquiry, we will let you know.
* Required
Please fill out the form below to request more information about our products and services. You may also use it to ask for pricing, availability, technical specifications, or any other details relevant to your inquiry. Our team will be happy to review your request and get in touch with you. If additional information is needed to process your inquiry, we will let you know.
* Required
Please fill out the form below to request more information and prices about our product. Our team will be happy to review your request and get in touch with you. If additional information is needed to process your inquiry, we will let you know.
* Required