
Complete confocal fluorescence microscope that empowers researchers to advance quantitative functional imaging from individual molecules to cells and tissues.

Modular, customizable, time-resolved confocal microscope with single-molecule sensitivity for life and materials science.

Compact FLIM and FCS upgrade kit that adds advanced functional imaging and correlation analysis to existing laser scanning microscopes.

Designed for flexible, sensitive, and precise steady-state and time-resolved spectroscopy across the UV to NIR range and time scales from picoseconds to milliseconds.

Modular lifetime spectrometer designed for flexible fluorescence and photoluminescence measurements in both materials and life science research.

Add spectral and time-resolved photoluminescence to your setup through flexible microscope–spectrometer coupling options.

Get the most out of superconducting nanowire detectors in large-scale quantum communication and computing experiments requiring precise multichannel timing.

Boost your time-resolved experiments with a flexible, high-precision time tagging and TCSPC unit for materials science and quantum sensing.

Scale your photonic quantum computing and detector characterization setups while maintaining performance, flexibility, and high data throughput.

Compact 3-color picosecond laser delivering flexible ns to ms excitation with cost-effective multicolor performance and straightforward operation.

Smart picosecond laser diode heads covering UV-A to NIR, providing the right combination of power, pulse width, and diode type for any time-resolved technique.

VisUV provides clean short pulses and stable timing across key UV and visible wavelengths, including deep UV lines as well as 488 nm and 532 nm.

Enhance your single-photon counting experiments with wide dynamic range and excellent timing precision in the UV and visible even at the highest count rates.

Capture even the weakest signals over large areas with maximum dynamic range and enhanced low-light sensitivity in a compact detector design.

Unlock spatially resolved single-photon detection with a 23-pixel SPAD array, combining low dark counts and precise time tagging for advanced experiments.

Advanced FLIM analysis software for fast, accurate interpretation of lifetime imaging data.

Intuitive, free software solution for real-time, high-precision photon data acquisition, visualization, and initial data analysis.

Advanced software for time-resolved fluorescence acquisition and analysis.

An imaging technique that uses fluorescence lifetimes to generate image contrast.

Investigating how proteins dynamically explore multiple conformational states that control biological function.

Investigating how biomolecules separate into dynamic liquid phases to organize cellular space and regulate biological function.

A time-resolved technique that measures photoluminescence lifetimes to reveal excited-state dynamics in materials.

Studying exciton dynamics, charge carrier processes, and structural properties through optical and time-resolved characterization methods.

Investigating charge-carrier lifetimes and recombination dynamics to enable precise optical characterization of material quality and device performance.

A quantum optical signature revealed by time-resolved photon correlation analysis to identify single-photon emission in materials and nanostructures.

The transmission of information using individual photons, using quantum effects to ensure absolute security.

Quantifying photons per detection event enables direct access to photon-number statistics, providing insight into quantum and statistical properties of light.

An optical technique that analyzes light emission under electrical excitation to reveal electronic properties of electroluminescent materials.

Monitoring environmental signals and trace compounds to understand dynamic changes in natural and engineered environments.

A photon timing technique that measures single-photon arrival times to resolve ultrafast dynamics in fluorescence, materials research, and quantum optics.
Light-emitting diodes (LEDs) are central to modern lighting and display technologies, ranging from conventional inorganic LEDs to OLEDs, QLEDs, µLEDs, nanoLEDs, and perovskite LEDs (PeLEDs). Their performance is determined by material composition, layer structure, and interface quality. The optical characterization provides direct access to these properties, enabling comparative evaluation of emerging emitter materials and device architectures under controlled experimental conditions.
The efficiency of LED and organic LED (OLED) devices is closely linked to charge carrier dynamics and recombination pathways. Radiative and non-radiative processes compete on fast timescales and are strongly influenced by defects, traps, and local material inhomogeneities. Shortened emission lifetimes typically indicate increased non-radiative recombination, leading to efficiency losses. Resolving these dynamics is essential for understanding performance limitations and degradation mechanisms in light-emitting materials.
Optical emission in LEDs and OLEDs arises from a complex interplay of carrier injection, transport, trapping, and recombination. Spatial variations in emission intensity and lifetime reveal non-uniformities introduced during material growth or device fabrication. These effects directly impact brightness, efficiency, and operational stability. Optical characterization methods allow researchers to correlate microscopic material properties with macroscopic device performance.
Spectrum of LED die and hybrid QD-LED indicated on CIE 1931 chromaticity diagram.Photoluminescence (PL) and electroluminescence (EL) techniques provide complementary insight into LED and OLED materials by probing both intrinsic material properties and device operation under electrical excitation. Time-resolved approaches such as TRPL enable quantitative analysis of carrier lifetimes, diffusion, and recombination pathways. When combined with spatially resolved measurements, these techniques reveal performance-limiting inhomogeneities and support systematic optimization of emitter materials and fabrication processes to reduce non-radiative losses.
The performance of display pixels is defined by properties such as color accuracy and response time. These characteristics depend on the emission spectra and luminescence dynamics of the pixel materials used in OLED and AMOLED displays. Optical and time-resolved characterization methods provide direct access to these parameters, supporting detailed analysis of pixel-level emission behavior.
Individual blue, green, and red pixels of a commercial smartphone display were analyzed using time-resolved photoluminescence spectroscopy. Steady-state spectra and luminescence decays were recorded from single pixels, revealing wavelength-dependent emission dynamics and lifetimes relevant for color accuracy and response behavior.

A smartphone display was investigated using TRPL imaging to map spatial variations in pixel emission dynamics. Lifetime maps revealed both nanosecond and microsecond decay components across the display, reflecting differences in pixel materials and operating characteristics relevant for response time and display performance.
Quantum dot-based LEDs combine inorganic LEDs with wavelength-selective quantum dots to achieve high color purity and efficiency. Their performance is governed by radiative recombination processes and energy transfer dynamics within the quantum dot layers. Optical and time-resolved characterization provides direct insight into recombination pathways, trap states, and loss mechanisms that limit device efficiency and color performance.

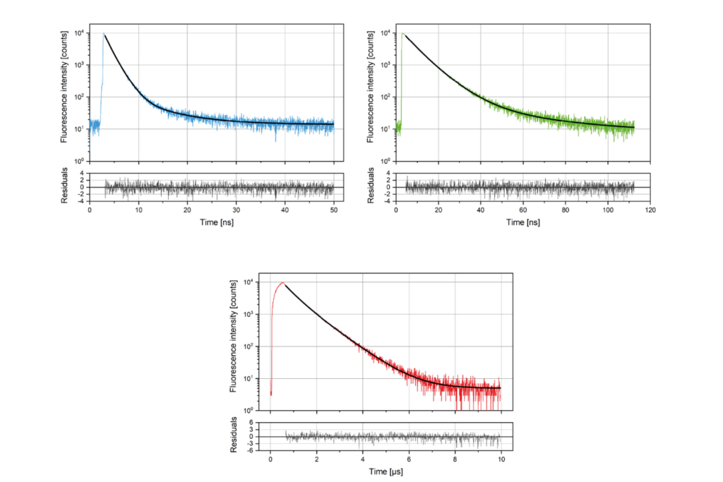
TRPL measurements on white-emitting magic-sized CdSe quantum dots revealed distinct recombination pathways associated with inter-band and surface-state emission. Decay curves recorded at different emission wavelengths showed longer lifetimes for surface-state recombination, reflecting charge carrier trapping at the quantum dot surface and its contribution to broadband emission behavior.

TRPL analysis of InP-based quantum dots with varying shell thicknesses demonstrated reduced energy transfer losses in core–shell structures. Increased photoluminescence lifetimes were observed for thicker shells, indicating suppressed non-radiative interactions between neighboring dots and improved radiative recombination efficiency in solid-state quantum dot films.
Perovskite LEDs offer excellent color purity and tunable emission due to the adjustable bandgap of perovskite materials. At the same time, material stability, environmental sensitivity, and process reproducibility remain key challenges. Optical and time-resolved characterization methods are essential for understanding degradation mechanisms, recombination dynamics, and the influence of fabrication strategies on device performance and material quality.

TRPL spectroscopy was used to study quasi-2D perovskite films treated with different passivating agents. Biexponential decay analysis revealed reduced trap-assisted non-radiative recombination and increased radiative lifetimes when TEPO, TBPO, or TOPO were applied, indicating effective defect passivation and improved carrier confinement in blue-emitting perovskite layers.
In this video, Sam Stranks (University of Cambridge), gives an overview of halide perovskite solar cell research using multimodal microscopy to study luminescence, recombination, degradation, and pathways to improve efficiency and stability.
How time-resolved fluorescence spectroscopy and microscopy reveal excited-state dynamics, defects, and charge-carrier processes
TRPL studies from ps to ms reveal multicolor excitation dynamics and long-lived luminescence processes in advanced materials
This application note demonstrates time-resolved photoluminescence and electroluminescence measurements of quantum dot LEDs
Learn how time-resolved fluorescence techniques reveal excited-state dynamics and charge-carrier processes in materials.
Please fill out the form below to receive the requested file. After submitting your details, the file will be sent to you by email.
* Required
Please fill out the form below to request more information. You may also use it to inquire about pricing, availability, technical specifications, or discuss your specific application. Our sales team will be happy to review your request and get in touch with you. If additional information is needed to process your inquiry, we will let you know.
* Required
Please fill out the form below to request more information about our products and services. You may also use it to ask for pricing, availability, technical specifications, or any other details relevant to your inquiry. Our team will be happy to review your request and get in touch with you. If additional information is needed to process your inquiry, we will let you know.
* Required
Please fill out the form below to request more information and prices about our product. Our team will be happy to review your request and get in touch with you. If additional information is needed to process your inquiry, we will let you know.
* Required